Mag-Fura 2 AM
Name: Mag-Fura 2 AM
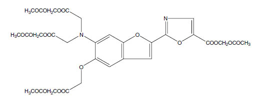
CAS Registry Number: 130100-20-8

CA Index Name: 5-Oxazolecarboxylic acid, 2-[5-[2-[(acetyloxy)methoxy]-2-oxoethoxy]-6-[bis[2-[(acety-loxy)methoxy]-2-oxoethyl]amino]-2-benzofuranyl]-, (acetyloxy)methyl ester
Other Names: Mag-Fura-2; Mag-Fura-2 AM; Mag-Fura-2 AM ester; Mag-Fura-2 acetoxymethyl ester; Fur-aptra AM; Furaptra AM ester; Furaptra acetoxymethyl ester
Merck Index Number: Not listed
Chemical / Dye Class: Benzofuran
Molecular Formula: C30H30N2O19
Molecular Weight: 722.56
Physical Form: Light yellow powder
Solubility: Insoluble in water; soluble in dimethyl sulfoxide, ethyl acetate
Melting Point: > 200 °C
Boiling Point: 797.5 ± 70.0 °C, pressure: 760 Torr
pKa: -2.88 ± 0.70, most basic, temperature: 25 °C
Absorption (λmax): 366 nm
Emission (λmax): 475 nm
Synthesis: Synthetic method
Staining Applications: Magnesium ions; calcium ions; zinc ions
Biological Applications: Magnesium indicator; calcium indicator; zinc indicator
Industrial Applications: Not reported
Safety / Toxicity: No data available
Органическая химия. Углублённый курс. Том 2 Второй том систематизированного учебного и справочного руководства по ...
Металлоорганические соединения переходных элементов В книге рассмотрен один из самостоятельных разделов элементоорганической химии, ...

