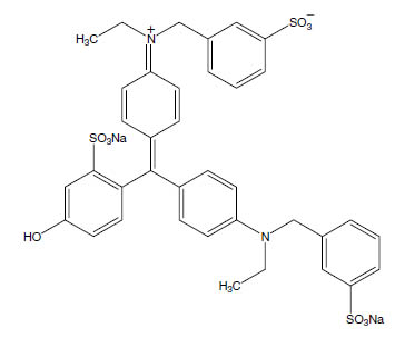
Fast Green FCF
Name: Fast Green FCF
CAS Registry Number: 2353-45-9

CA Index Name: Benzenemethanaminium, N-ethyl-N-[4-[[4-[ethyl[(3-sulfophenyl)methyl]amino]phenyl](4-hydroxy-2-sulfophenyl)methylene]-2,5-cyclohexadien-1-ylidene]-3-sulfo-, inner salt, sodium salt (1:2)
Other Names: Benzenemethanaminium, N-ethyl-N-[4-[[4-[ethyl[(3-sulfophenyl)methyl]amino]phenyl](4-hy-droxy-2-sulfophenyl)methylene]-2,5-cyclohexadien-1-ylidene]-3-sulfo-, hydroxide, inner salt, disodium salt; Benzenemethanaminium, N-ethyl-N-[4-[[4-[ethyl[(3-sulfophenyl)methyl]amino]phenyl](4-hydroxy-2-sulfo-phenyl)methylene]-2,5-cyclohexadien-1-ylidene]-3-sulfo-, inner salt, disodium salt; C.I. Food Green 3; C.I. Food Green 3, disodium salt; Fast Green FCF; C.I. 42053; FD and C Green No. 3; FD&C Green No. 3; FDC Green 3; Food Green 3; Food Green No. 3; Green No. 3; Japan Food Green No. 3; Japan Green 3; Japan Green No. 3; NSC 379443
Merck Index Number: 3941
Chemical / Dye Class: Triphenylmethane
Molecular Formula: C37H34N2Na2O10S3
Molecular Weight: 808.85
Physical Form: Dark green or red-brown powder
Solubility: Soluble in water, ethanol; insoluble in xylene
Melting Point: 290 °C (decompose)
Absorption (λmax): 624 nm
Synthesis: Synthetic method
Staining Applications: Brain; cytoplasm; cytoskeleton; nuclei; nucleoli; aluminum; cells; microorganisms; stain for endoscopy; beverages; candies; drinks; fish; sweeteners; capsules; tablets; skin; lips; tattoos; tooth; hairs
Biological Applications: Detecting proteins; medical devices
Industrial Applications: Inks; highlighters; paints; detergents; colored bubbles; entertainment products
Safety / Toxicity: Acute toxicity; carcinogenicity; chronic toxicity; cytotoxicity; effects on chromosomes; genotoxicity; mutagenicity; neurotoxicity
Certification / Approval: Certified by Biological Stain Commission (BSC); Approved by Food & Drugs Administration (FDA)
Пространственные эффекты в органической химии В сборнике обзорных статей американских химиков подведены итоги важнейших ...
Химия фосфороорганических соединений. Избранные труды. Том 3 Академик М. И. Кабачник является одним из выдающихся химиков-органиков XX века. В ...
Органическая химия. Углублённый курс. Том 2 Второй том систематизированного учебного и справочного руководства по ...
